Toepassingen

Lichtgevende cocktails met Easy Glow
Easy Glow is een speciaal samengesteld poeder dat, wanneer toegevoegd aan je culinaire creaties, ze een uniek, gloeiend uiterlijk geeft onder blacklight, ook wel bekend als 'glow-in-the-dark' drankjes en eten....
Lichtgevende cocktails met Easy Glow
Easy Glow is een speciaal samengesteld poeder dat, wanneer toegevoegd aan je culinaire creaties, ze een uniek, gloeiend uiterlijk geeft onder blacklight, ook wel bekend als 'glow-in-the-dark' drankjes en eten....

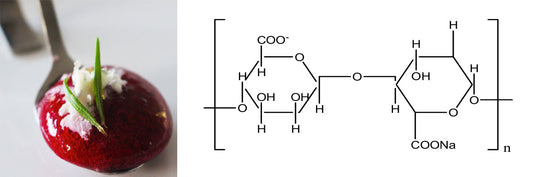
Scheikunde en Moleculair koken – Kookpoeders to...
Kookpoeders in het onderwijs. Jawel, onze kookkunsten worden steeds vaker toegepast op scholen om scheikunde te doceren. Een praktijk les waarbij zowel het plezier van de moleculaire koken alsook de...
Scheikunde en Moleculair koken – Kookpoeders to...
Kookpoeders in het onderwijs. Jawel, onze kookkunsten worden steeds vaker toegepast op scholen om scheikunde te doceren. Een praktijk les waarbij zowel het plezier van de moleculaire koken alsook de...